高等数学之向量代数与空间解析几何
一、数量积(计算结果为数 是人为定义的) 点积 内积 (用于物理中的做功计算等)
1.基本表述
2.性质
(1)
(2)
3.基本运算规律
(1) 交换律
(2) 分配律
(3) 结合律
4.坐标表示
定义
5.几何意义
- 核心意义:内积是向量方向相似性的量化,结合模长和夹角反映几何关系。
- 用场景:从几何角度计算、物理做功到机器学习中的相似性分析,内积均为核心工具。
- 内积的几何意义是 投影与方向相似性的标量度量,公式为 a⋅b=∣a∣∣b∣cosθ
折叠文本
内积可以推到出:三角形余弦差角公式 和合角公式 (sin是奇函数 sin(-b) = -sin b,cos是偶函数 cos(-b) = cos b)

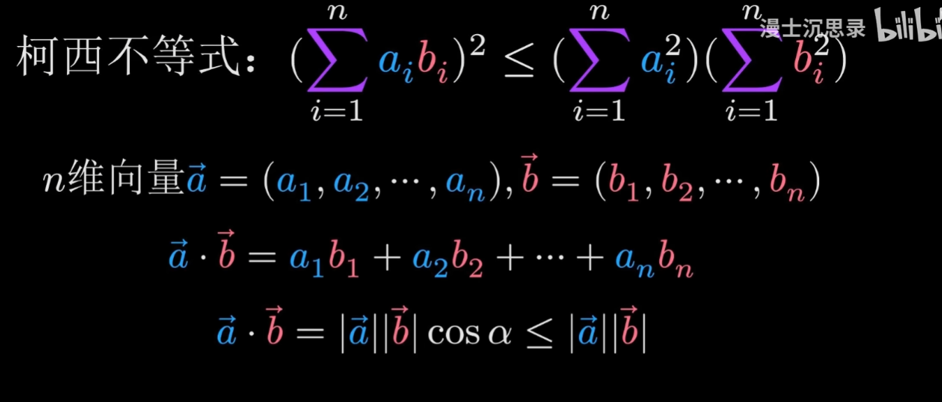
柯西不等式


二、向量积(计算结果为向量) 外积、叉积、 矢量积
1.基本表述
2.方向确定: 右手规则
例如
3.性质
(1)
(2)
4.基本运算规律
(1)
(2) 分配律
(3) 结合律
5.坐标表示
(用行列式对角计算法)

定义
4.几何意义
在三维和二维(伪叉积)中叉积的模长 其
为面积 向量a与b围成的平行四边形的面积 高维空间无传统叉积,但有向面积可通过外积(楔积)推广为二重向量
三、混合积(计算结果为数)
1.基本表述
2.坐标表示
定义:
则:
3.性质
(1)
(2) 任意对换两个向量的位置,计算结果加负号
(3) a、b、c三向量共面
4.几何意义
二维向量交叉
向量的混合积
tips:
两个向量平行 AB=入BC

行列式:对角线法则计算得出的值
- 二阶行列式(2×2矩阵的行列式):表示的是二维平面上由两向量张成的平行四边形的面积。
- 三阶行列式(3×3矩阵的行列式):表示的是三维空间中由三个向量张成的平行六面体的体积。